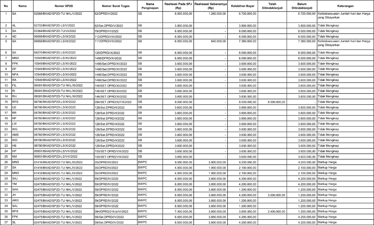
Erapena.com- Sebuah data yang diduga memuat perjalanan dinas fiktif anggota DPRD Boalemo tengah ramai beredar di berbagai grup WhatsApp. Dalam data tersebut, tercatat kelebihan bayar mencapai Rp221 juta untuk satu kegiatan perjalanan dinas (perdis).
Dari total dugaan kelebihan bayar tersebut, disebutkan baru sekitar Rp31,8 juta yang telah ditindaklanjuti. Data yang beredar juga memuat secara rinci nama-nama pihak yang terlibat serta nomor Surat Perintah Pencairan Dana (SP2D).
Yang mengejutkan, data itu hanya untuk satu kegiatan perjalanan dinas. Hingga kini belum ada informasi resmi mengenai tahun pelaksanaan kegiatan tersebut, sehingga publik masih bertanya-tanya kapan dugaan perdis ini terjadi.
Aktivis sekaligus pemerhati kebijakan publik, Nanang Syawal, menilai temuan ini bisa menjadi pintu masuk untuk mengungkap potensi penyalahgunaan anggaran yang lebih besar.
“Jika sekali perdis seperti ini, bayangkan berapa kali perdis mereka lakukan sepanjang tahun 2020–2022,” tegas Nanang.
Hingga berita ini diterbitkan, pihak DPRD Boalemo belum memberikan keterangan resmi terkait kebenaran data yang beredar maupun langkah tindak lanjut yang akan diambil.













