Erapena.com- Dugaan perjalanan dinas fiktif DPRD Boalemo tahun 2020 – 2022, semakin menguat. Kejaksaan Negeri…
#DPRD Boalemo
Kasus Dugaan Perdis Fiktif DPRD Boalemo, Siapa Akan Terseret ?
Erapena.com- Publik penasaran, siapa yang bakal terseret pada kasus dugaan Perjalan Dinas (Perdis) fiktif DPRD…
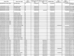
Data Dugaan Perjalanan Dinas Fiktif DPRD Boalemo Beredar di Grup WA
Erapena.com- Sebuah data yang diduga memuat perjalanan dinas fiktif anggota DPRD Boalemo tengah ramai beredar…
Dugaan Korupsi Perdis DPRD Boalemo, Sejumlah Aleg Belum Dipanggil Ada Apa ?
Erapena.com- Di tengah upaya bangsa memberantas korupsi dari pusat hingga ke pelosok daerah, Kabupaten Boalemo…
Dugaan Korupsi Perdis DPRD Boalemo Masuk Tahap Penyidikan, Masyarakat Desak Penetapan Tersangka
Erapena.com, Boalemo- Dugaan kasus korupsi perjalanan dinas DPRD Boalemo tahun 2020, 2021, dan 2022 telah…
Menanti Keberanian Kejari Boalemo Ungkap Dugaan Korupsi Perdis DPRD
Erapena.com- Dengan mencuatnya Isu kasus dugaan korupsi Perjalan Dinas (Perdis) DPRD kabupaten Boalemo, pada tahun…
Tidak Ada Postingan Lagi.
Tidak ada lagi halaman untuk dimuat.

